Diagram Database

Posted by on 2020-12-29

Land Law Outlines Diagrams And Study Aids

CETNIEWO2017.VILOGDANSK.EU

Land Law Outlines Diagrams And Study Aids

  • Study Aids
  • Date : December 29, 2020
  • Downloaded : 7261 times

Land Law Outlines Diagrams And Study Aids Whats New

Law Outlines Diagrams And

Downloads Land Law Outlines Diagrams And Study Aids

  • Property Law Outlines Diagrams And Study Aids

  • Sell Buy Or Rent Public Law Outlines Diagrams And

  • Law Of Tort Outlines Diagrams And Study Aids

  • Law School Flashcards Or Flowcharts What U0026 39 S Best With

  • New Online Study Aids Examples U0026 Explanations Emanuel

  • Law Of Equity And Trusts Outlines Diagrams And Study

  • How To Write A Law School Outline Using Diagrams

  • Law School Outline - Civil Procedure

  • Criminal Law Outlines Diagrams And Exam Study Sheets Is

  • Law Of Contract Outlines Diagrams And Study Aids

  • 1000 Images About Study Aids On Pinterest

  • Bar Exam Study Materials

  • Implied Negative Reciprocal Servitude

  • Pin On Legal Yankee Publications

  • Law School Outline

  • Lawschoolmadeeasy Com - Law School Outlines

  • Pardee Legal Research Center - School Of Law

  • Textual Aids

  • Criminal Procedure Big Picture

  • Resource Spotlight Study Aids

  • Law School Study Guides Commercial Law Outline

  • Table Of Contents To Flow Charts

  • Preemption

  • Contracts Big Picture

  • Criminal Court System

  • Visualaw Study Guides Introduction To English Law

  • Lawschoolmadeeasy Com - Law School Outlines

  • Connected Study Aids

  • Study Aids In The Law Library U2013 The Reporter

  • 6

  • Corporations Big Picture

  • Connected Study Aids

  • Tellerbooks

  • Tellerbooks

  • U0645 U0643 U062a U0628 U0627 U0644 U0645 U062d U0627 U0645 U064a U0639 U0627 U0643 U0641 U0627 U0644 U0645 U0639 U0627 U064a U0637 U0629 In 2020

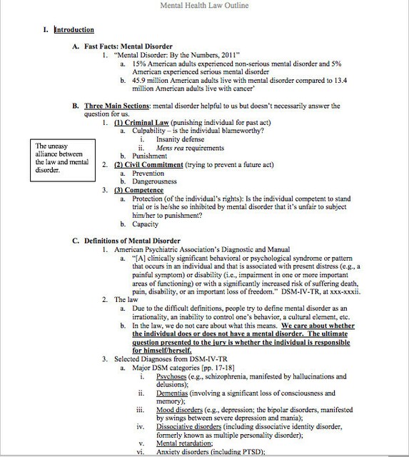
  • Mental Health Law Outline Study Aid

  • Remedies Big Picture

  • Explain The Concept Of U0026quot Returns To Variable Inputs U0026quot With

  • Criminal Procedure Adjudication And The Right To Counsel

  • Big Picture On Justiciability With Images

  • Venn Diagrams And The God Delusion

  • Contracts - Study Aids For First Year Courses

  • Contracts Clause Tons Of Con Law Flow Charts

  • Constitutional Law Commerce Clause Flowchart More

  • Commercial E-outlines

  • Llb Study Guides Contract Law Criminal Law U2014 Legal Yankee

  • Business Associations Flowcharts

  • Constitutional Law

Copyright © 2020 - CETNIEWO2017.VILOGDANSK.EU


1937 Comments